5 Section 122 Using Graphs of Quadratic Functions to solve Equations The following is the graph for the equation y = x2 x – 6 This graph can be used to solve the equation x2 x – 6 = 0 The solution of the equation y = x2 x – 6 are found by finding the values of x when y = 0 This is done by observing where the graph crosses the x – axisQuestion find the intercepts of the graph of equation y=x^2 3x4 rewrite the following with positive exponent (43xy)^8/9 please divide (28b^3 13b^2 22b 25) / (4b3) multiply and simplify 81x^2/4x^232x64 multiplied by 4x16/9x what is the value of the discriminant x^27x13=0 thank you in advance for all your helpSolution Steps (x1) \times (x4)= ( x − 1) × ( x 4) = Apply the distributive property by multiplying each term of x1 by each term of x4 Apply the distributive property by multiplying each term of x − 1 by each term of x 4 x^ {2}4xx4 x 2 4 x − x − 4 Combine 4x and

Answered Y X 2 Y 3x 4 Choose 1 Answer Bartleby
Y=x^2-3x+4 graph
Y=x^2-3x+4 graph-FIRST YOU HAVE THE Y INTERCEPT (0,4) NOW YOU NEED TO SET Y=0 & SOLVE FOR THE X INTERCEPT 0=2X/34 2X/3=4 NOW CROSS MULTIPLY 2X=3*4 2X=12 X=12/2 X=6 WHICH ISRelated » Graph » Number Line » Examples » Our online expert tutors can answer this problem Get stepbystep solutions from expert tutors as fast as 1530 minutes




Solve And Graph 2 X 3 9 Solve
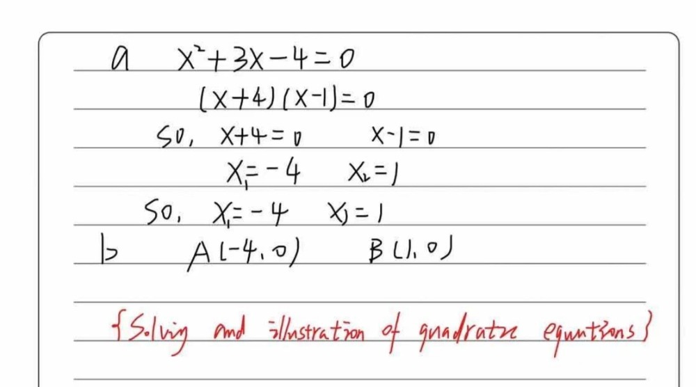
Its a quadratic equation set y=0 and solve for x find 2 numbers that multiply to get 4 and add to get 3 1 and 4 so these are the 2 intercepts if you cant remember this method then use the quadratic method like the solver belowCalculus questions and answers Find the area of the region bounded by the graph of y=x^23x 4 and the axis у 2 3 1 4 5 6Multiply 4 4 by 1 1 Subtract 9 4 9 4 from 0 0 Substitute the values of a a, d d, and e e into the vertex form a ( x d) 2 e a ( x d) 2 e Set y y equal to the new right side Use the vertex form, y = a ( x h) 2 k y = a ( x − h) 2 k, to determine the values of a a, h h, and k k
Root plot for y = x 23x4 Axis of Symmetry (dashed) {x}={ 150} Vertex at {x,y} = { 150,625} x Intercepts (Roots) Root 1 at {x,y} = {100, 000} Root 2 at {x,y} = { 400, 000} Solve Quadratic Equation by Completing The Square 32 Solving x 23x4 = 0 by Completing The Square Add 4 to both side of the equation x 23x = 4Compute answers using Wolfram's breakthrough technology & knowledgebase, relied on by millions of students & professionals For math, science, nutrition, historyExample 1 Solve graphically and analytically the quadratic inequality Graphical solution Use the applet to set coefficients a = 1, b = 3 and c = 4 and graph the equation y = x 2 3x 4 The solution set to the inequality x 2 3x 4 < 0 correspond to the x coordinates of the points on the graph for which y < 0 BLUE
The equations are in slopeintercept form making them easy to graph Slopeintercept form y = mx b plot yintercept first (0,b) then go rise over run for the slope to find other points Draw line through points done angymoreno43 angymoreno43Another way of determining the vertex of the graph is by using a graphing calculator Graph of y = x^2 3x 4 The vertex is (15, 625)Sin (x)cos (y)=05 2x−3y=1 cos (x^2)=y (x−3) (x3)=y^2 y=x^2 If you don't include an equals sign, it will assume you mean " =0 " It has not been well tested, so have fun with it, but don't trust it If it gives you problems, let me know Note it may take a few seconds to finish, because it has to do lots of calculations




Draw The Graph Of The Quadratic Polynomial Y X 2 3x 4 Name The Curve Formed And From The Graph Find The Zeroes Maths Meritnation Com




Graph Graph Equations With Step By Step Math Problem Solver
Graph and describe the rational function Taken from the Calc AB summer packetThe graphs for these two equations are parallel lines!Graphing the line y = x 3 on a Cartesian Graphgraph the function y=x3




Exercise 3 15 Quadratic Graphs Problem Questions With Answer Solution Mathematics



Untitled Document
Given y = x2 3x 4 let x = 0, 1, 2, 3 then y = 4,2,2,4and so on then the graph is Recommend (2) Comment (0) person Parthasaradhi M Member since Solution If x = 0, ⇒ y= 02 3 (0) 4 = 4You can put this solution on YOUR website! Understanding graph of this rational function I have this equation ( 4 − 3 x − x 2) / ( x − 3) and I am learning PreCalculus from coolmath and using desmos to graph Xintercepts 4 − 3 x − x 2 = 0 ==> ( 1, 0) and ( − 4, 0) Problem #1 I thought graph has 3 parts but it got 2 (there is nothing in the middle)




Quadratic Graphs 1 A Complete The Table For Y X2




Draw Graph Y X 2 3x 4 Solve X 2 3x 4 Brainly In
Click here👆to get an answer to your question ️ Graph drawn from the equation y = x^2 3x 4 will beAlgebra Graph y=x^23x4 y = x2 3x − 4 y = x 2 3 x 4 Find the properties of the given parabola Tap for more steps Rewrite the equation in vertex form Tap for more steps Complete the square for x 2 3 x − 4 x 2 3 x 4How do you graph y=x2Video instruction on how to graph the equation y=x2




Solving Equations By Using Graphs




How Is The Graph Of Y 1 3x 2 4 Related To The Graph Of F X X 2 Socratic
Algebra Solve by Graphing y=x2 y=3x4 y = x − 2 y = x 2 y = 3x 4 y = 3 x 4 Create a graph to locate the intersection of the equations The intersection of the system of equations is the solution (−3,−5) ( 3, 5)Graph y=2/3x4 Rewrite in slopeintercept form Tap for more steps The slopeintercept form is , where is the slope and is the yintercept Reorder terms Use the slopeintercept form to find the slope and yintercept Tap for more steps Find the values of and using the form 1 The graphs of y = x^3 3x 2 and x 4y = 4 intersect in the points , and If and , compute the ordered pair (A,B) 2 Compute




Create Meme Y X 2 4 X Draw The Graph Of The Function Y X 2 X 6 To Build A Graphical Equation X 2 4 X Pictures Meme Arsenal Com




Factoring Review Examples 1 Factor X 2 3x 4solve X 2 3x 4 0 Graph Y 1 X 2 3x 4 Find X Intercepts What 4 And Pptx Powerpoint
The vertex is (3/2, 25/4) and the line of symmetry is x = 3/2 y = x^2 3x 4 There are a couple ways to find the vertex using b/(2a) or converting it to vertex form I'll show doing it both ways Method 1 (probably better method) x = b/(2a) The equation is in standard quadratic form, or ax^2 bx c Here, a = 1, b = 3, and c = 4 To solve x 2 3x – 4 = 0 subtract x 2 3x – 4 = 0 from y = x 2 3x – 4, The points of intersection of the parabola with the x axis are the points (4, 0) and (1, 0), whose x – coordinates (4, 1) is the solution, set for the equation x 2 3x – 4 = 0Question Find yintercept and vertex y = x^2 3x 4 Answer by jim_thompson5910 () ( Show Source ) You can put this solution on YOUR website!




Draw The Graph Of Y X2 3x 4 And Hence Use It To Solve X2 3x 4 0 Mathematics Shaalaa Com



Graph Y X2 3x 4 By Filling In The Table Below 3 Chegg Com
The graph of a quadratic function is called answer choices a line a hyperbola a parabola a cubic s Question 2 SURVEY 30 seconds Q Standard form of a quadratic equationTwo numbers r and s sum up to 3 exactly when the average of the two numbers is \frac{1}{2}*3 = \frac{3}{2} You can also see that the midpoint of r and s corresponds to the axis of symmetry of the parabola represented by the quadratic equation y=x^2BxCGraph the parabola, y =x^21 by finding the turning point and using a table to find values for x and y




Answered Y X 2 Y 3x 4 Choose 1 Answer Bartleby




Find The Area Of The Region Bounded By The Graphs Y X 2 3x 4 And Y 4 Wyzant Ask An Expert
Answer to Find the total area of the region between the xaxis and the graph of y = x^2 3x, 4 \\leq x \\lt 1 By signing up, you'll get thousands The smooth curve is the graph of y = x 2 – 4x 4 (iv) To solve x 3x – 4 = 0, subtract x 2 3x – 4 = 0 from y = x 2 3x – 4 y = 0 ∴ The point of intersection with the x – axis is the solution set The solution set is 4 and 1 Question 6 Draw the graph of y = x 2 – 5x – 6 and hence solve x 2, – 5x – 14 = 0 Answer LetThe red line is the graph



Q Tbn And9gcrii1hpjxibmwg 1ifpwwnaf0mlgnr2yhuhi5sq Axzgzhmmh4u Usqp Cau




Solve X 2 3x 4 Perfect Interlude
To find the yintercept, plug in x=0 Lets find the value of y when Start with the given polynomial Plug in Raise 0 to the second power to get 0 Multiply 3 by 0 to get 0Question 11) Sketch The Graph Of Y=x^23x4 12) Sketch The Graph Of Y= Radical X2 This problem has been solved!Steps for Solving Linear Equation 3x2y=4 3 x 2 y = 4 Subtract 2y from both sides Subtract 2 y from both sides 3x=42y 3 x = 4 − 2 y Divide both sides by 3 Divide both sides by 3



Http Www Eastauroraschools Org Cms Lib Ny Centricity Domain 323 Ch 8 review sheet answers Pdf



Quadratics
Parabola Calculator This calculator will find either the equation of the parabola from the given parameters or the axis of symmetry, eccentricity, latus rectum, length of the latus rectum, focus, vertex, directrix, focal parameter, xintercepts, yintercepts of the entered parabola To graph a parabola, visit the parabola grapher (choose the Draw the graph of the quadratic polynomial y=x^23x4 Name the curve formed and from the graph find the zeroes of the polynomial Share with your friends Share 2 Dear Student, Please find below the solution to the asked query To show graph ofFind the X and Y Intercepts y=x^23x4 Find the xintercepts Tap for more steps To find the xintercept (s), substitute in for and solve for Solve the equation Tap for more steps Rewrite the equation as Factor using the AC method Tap for more steps Consider the form



Solving Equations Algebraically



Y X 2 Graph
Therefore, they never cross The only difference is that the first line crosses the yaxis at 2, and the second line crosses the yaxis at 4 Let's show this on a graph I just looked at the graph I drew Sort of cool!Solve your math problems using our free math solver with stepbystep solutions Our math solver supports basic math, prealgebra, algebra, trigonometry, calculus and moreFrom the first graph, you can observe that 0 is the only zero of the polynomial x 3, since the graph of y = x 3 intersects the xaxis only at 0 Similarly, the polynomial x 3 – x 2 = x 2 (x – 1) has two zeroes, 0 and 1 From the second diagram, you can see that the graph of y = x 3 – x 2 intersects the xaxis at 0 and 1 Hence, we can conclude that there is a maximum of three zeroes for




Describe The End Behavio Descubre Como Resolverlo En Qanda



Graphing Linear Inequalities
How to graph equations by finding the yintercept and slopeAnswer Compare ax2 bxc = 0 with the given equation, then a= 1,b = 3,c = 4 We get b2 −4ac< 0 for the given equation which implies it has imaginary roots and since a> 0, the graphSimple and best practice solution for Y=x^23x4 equation Check how easy it is, and learn it for the future Our solution is simple, and easy to understand, so




Graph Y 3x 4 Study Com




Quadratic Functions Ppt Download
#y=x^23x4# One Solution is #(1, 0)# Another solution is #(4,0)# To have a graphic solution, You have identify a range of values for #x# That includes vertex and the above said two points Its vertex is given by #x=(b)/(2xxa)=(3)/(2 xx1)=3/2# Now take four values above and below #3/2# Find the corresponding #y# values for #x# Plot all the values{eq}y = x^2 3x 4 {/eq} Quadratic Equations The graph of a general quadratic equation {eq}y=ax^2bxc {/eq} will open upwards if {eq}a>0 {/eq}, downwards if {eq}aWe are given the curves {eq}\displaystyle y=2x^26x2x,\, y=x^23x4 {/eq}The graph of the this curves are shown below As shown in the graph,




Ex 6 3 12 Solve Graphically X 2y 3 3x 4y 12




Graph Drawn From The Equation Y X 2 3x 4 Will Be
See the answer 11) Sketch the graph of y=x^23x4 12) sketch the graph of y= radical x2 Show transcribed image text Expert Answer Previous question Next question Transcribed Image Text from this QuestionAnswer to Find the total area of the region between the xaxis and the graph of y = x^2 3x, 4 less than or equal to x less than or equal to 3To solve x 2 3x – 4 = 0 subtract x 2 3x – 4 = 0 from y = x 2 3x – 4 , The points of intersection of the parabola with the x axis are the points (4, 0) and (1, 0), whose x – coordinates (4, 1) is the solution, set for the equation x 2 3x – 4 = 0 Question 6 Draw the graph of y = x 2 – 5x – 6 and hence solve x 2 – 5x



Www Yardleys Vle Com Mod Resource View Php Id




X 2 3x 4 0 Graph Novocom Top




The Figure To The Right Shows The Graph Of Y X2 3x Gauthmath



Example 1 Graph A Quadratic Inequality Graph Y




Graphing Parabolas




Graph In Slope Intercept Form Y 1 3 X 2 Youtube



How Do You Graph Y 3x 4 Socratic



What Is The Vertex Of The Graph Y X 2 3x 4 Enotes Com




Draw The Graph Of The Function Y 3x 4 4x 3 Discuss The Points Of Local Extremum Inflection And Intervals Of Monotonicity



Solve Graphically The System Of Equations X Y 3 3x 2y 4 Mathematics Topperlearning Com Ja91bwemm




Draw The Graph Of Y 3x 4 X For Values Of X Ranging From 2 To 6 On The Myschool




Ex 3 2 Q3d P X X 2 3x 4 Draw The Graphs Of The Given Polynomial And Find The




Draw The Graph Of Y X 1 X 3 And Hence Solve X2 X 6 0 Mathematics Shaalaa Com




Copy And Complete The Table For The Relation Y X2 Gauthmath




Write The Equation For A Linear Function From The Graph Of A Line College Algebra




Solving Quadratic Equations By Graphing Examples




Determine The Slope And Y Intercept Of Y 2 3x 2 The Graph The Equation Youtube




Graph Drawn From The Equation Y X2 3x 4 Will Be Class 11 Maths Cbse




Polynomials Equations Cbse Class 10 Ekshiksha



Solution Graph The Quadratic Equation And Complete A Table Of Values Y X 2 3x My Answer This Is What I Was Given X 3 X 2 And This Is Where I Am




Solve And Graph 2 X 3 9 Solve



How To Sketch A Graph Of The Function Y X 3 3x 2 Showing The Positions Of Turning Points If Any Quora



Curve Sketching




Quadratic Function



What Is The Range Of A For Which Ax 2 3x 4 0 X Belongs To R Quora




Solving A Quadratic Equation Key Stage 4




Draw The Graph Of P X X2 3x 4 Using The Graph Find The Zeroes Justify Your Answer Brainly In




Answered Here Is A System Of Equations Y 3x 4 Bartleby




Example 1 Graph A Quadratic Inequality Graph Y X 2 3x 4 Solution Step 1 Graph Y X 2 3x 4 Because The Inequality Symbol Is Make The Parabola Ppt Download




How To Draw Y 2 X 2



Solve Y 2 3x And Y X 2 2 Graphically And Algebraically Verify The Solution By Substitution Enotes Com




Q15 Draw The Graph Of The Equation Y 3x 4 And Read Off The Value Of Y When X 1




Rd Sharma Class 10 Solutions Maths Chapter 3 Pair Of Linear Equations In Two Variables Exercise 3 2



Mohl Parabolas




How Do You Graph Y 2 3x 4 Socratic



Draw The Graph Of Y X 2 3x 4 And Hence Use It To Solve X 2 3x 4 0 Y 2 X 3x 4 Sarthaks Econnect Largest Online Education Community




File Graph Of Quadratic Function Y X 3x 4 Png Wikimedia Commons




Draw The Graph Of P X X 2 3x 4 And Find Zeroes Verify The Zeroes Of The Polynomials




Which Graph Represents Y X2 3x 4



Untitled Document



Solved Using Graphical Method Solve The Equation X2 3x 4 0 Course Hero




Solved Let Integral X X 2 3x 4 Find The Equation Of T Chegg Com




Lesson 1 1 Pages 5 11 State The Domain And Range Of Each Relation Then State Whether The Relation Is A Function Write Yes Or No Pdf Free Download



Ch 3 4




Graph Of Y X 2 3 X Geogebra




View Question How Do You Solve Something Like Y 3x 4 Y X 2 Please Help




Ex 6 3 10 Solve 3x 4y 60 X 3y 30 X 0 Y 0



Solution How Do I Graph The Equation Y 2 3x 4




Sketch Graph 3x 12 X 2 3x 4 And Describe Behaviour Near Asymptotes Youtube




Using Graph Find Zeroes Of I Y X2 3x 4 Ii Yx2 6x 9



Solution Use The Graph Y X 2 3x 4 To Help Solve The Inequality X 2 3x 4 Gt 0




The Graph Of A Quadratic 7x 2 3x 4 Is A Parabola Determine The Opening Of Parabola Justify Ur Answer Maths Polynomials Meritnation Com




Y 1 2 3 X 4 Graph Novocom Top



Draw The Graph Of Y X 2 3x 2 And Use It To Solve The Equation X 2 2x 4 0




Solution Can We Sketch The Graph Y X 3 X 2 X 1 Polynomials Rational Functions Underground Mathematics




Samacheer Kalvi 10th Maths Solutions Chapter 3 Algebra Ex 3 15 Samacheer Kalvi




Systems Of Equations With Substitution 9x 3y 15 Y X 5 Video Khan Academy



Solution Find Y Intercept And Vertex Y X 2 3x 4




Algebra Calculator Tutorial Mathpapa




Solve Tools For Solving Equations




7 2 Abs Value Function




Find The Area Of The Region Bounded By The Graphs Of The Given Equations Y 3x 4 Y X 2 Study Com



Q Tbn And9gcsbswfmxam7ej Qocal056cfkp79mg22ek3tldlotmks B0icit Usqp Cau




Draw The Graph Of P X X2 3x 4 Using The Graph Find The Zeroes Justify Your Answer Brainly In



1



Systems Of Linear Equations




Exercise 3 15 Quadratic Graphs Problem Questions With Answer Solution Mathematics



Sketch The Graph Of Y X 2 3x 4 For 2 Chegg Com




X Y Y X2 3x Solutions Of Y X2 3x Y X 1 5 2 3 6 Y X2 3x Ppt Download



Answer In Algebra For Philasande



Draw The Graph Of Y X 2 3x 2 And Use It To Solve X 2 2x 1 0 Sarthaks Econnect Largest Online Education Community



Http Www Cusd80 Com Cms Lib6 Az Centricity Domain 2148 Q1 exam review 13 14 key pdf Pdf



Draw The Graph Of Y X2 3x 4 Polynomials Maths Class 10




Graph Graph Equations With Step By Step Math Problem Solver



Emat 6680 Assignment 2




3 3 Graphs Of Factorable Polynomials And Rational Functions



Systems Of Equations With Graphing Article Khan Academy



Graph The Inequality And Show All Your Work Y 2 3x 4 Please I Really Need Help Mathskey Com